Complete Solutions Manual for: SINGLE VARIABLE CALCULUS Early Transcendentals 7th Edition by Stewart (Sách gia công, Bìa mềm)

Thể loại:Mathematics
Năm:2012
In lần thứ:7th
Ngôn ngữ:English
Trang:1121
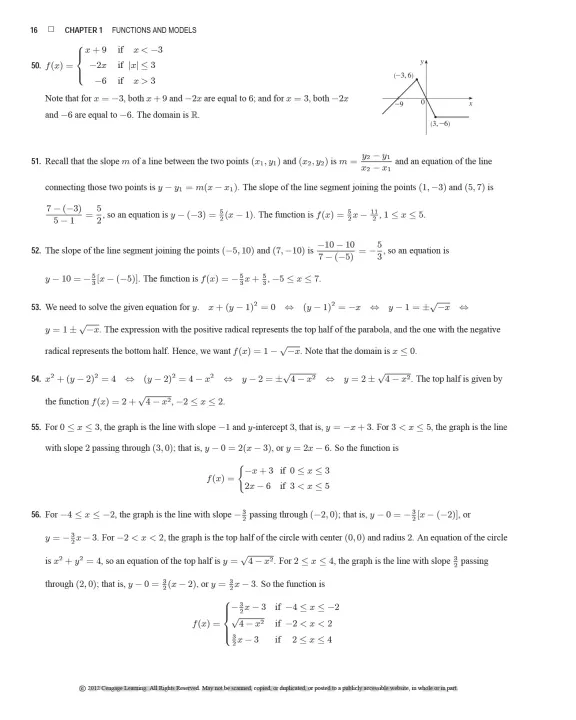
Success in your calculus course starts here! James Stewart's CALCULUS: EARLY TRANSCENDENTALS texts are world-wide best-sellers for a reason: they are clear, accurate, and filled with relevant, real-world examples. With SINGLE VARIABLE CALCULUS: EARLY TRANSCENDENTALS, Seventh Edition, Stewart conveys not only the utility of calculus to help you develop technical competence, but also gives you an appreciation for the intrinsic beauty of the subject. His patient examples and built-in learning aids will help you build your mathematical confidence and achieve your goals in the course!